

VCL Course 07 Anti-aliasing
我其实挺不喜欢crash course系列的。写得急,且最后很难收尾。像现在ics考完了,前面ics的坑也就没有动力去填……
反走样#
信号理论与频谱#
图像的高频部分是一些细节。低频部分保存了大部分的形状信息。
香农采样定理:想要能完美恢复出原信号,我们必须要让采样频率至少是原信号截止频率的两倍。

上面是连续信号及其采样信号的时域图和频域示意图。
(a) 为连续信号,(b) 为对应的频谱。
(c) 表示对连续信号进行频率为的离散采样,也就是每隔fs采样一个值
(d) 表示采样得到的离散信号的频谱,是将连续信号的频谱按周期 进行周期延拓
能够恢复出原来的信号,需要(d)中的频谱信号不发生重叠。
几何边缘中的反走样#
反走样的精髓在于提高采样频率。
SSAA(super sample anti aliasing),超采样反走样#
这个做法的核心在于对每个像素内部进行多倍超采样(像素内部按照某种方式取多个点,分别计算颜色),然后再取平均,降采样到屏幕上。这本质上是先将图形光栅化到了一个分辨率更高的屏幕上。
MSAA(multi sample anti aliasing), 多重采样反走样#
MSAA可以认为是优化了的SSAA。它只在反走样情况出现最大的地方进行超采样。
MSAA为每个像素设置多个采样点。当一个图元(一般是三角形)与像素有交时,检查图元覆盖了多少个采样点。
最终像素的颜色为图元提供的颜色乘以覆盖比例。如果全部覆盖,就是图元的颜色本身;如果部分覆盖,就是图元的颜色减淡。
通过这种方式,MSAA 对于三角形内部的像素处理方式和没有反走样是一样的。而在三角形的边界上 MSAA 的效果接近于 SSAA,可以实现比较好的反走样效果。
这种方法的好处是每个图元每个像素只用算一次颜色。

纹理图形中的反走样#
我们在这节中解决的问题是纹理走样。比如一个拥有高分辨率纹理的物体离相机很远,这样一个像素就对应一大片纹理区域。或者一个拥有低分辨率纹理的物体具体相机很近。
如果说我们直接做物体的放大缩小,就会出现纹理不匹配的现象。如图所示,出现锯齿和摩尔纹。

我们可以采用MIP Mapping的方式,预先计算处理一个物体各种形状的样子。大到整张图片的样子,小到一张像素。中间边长以每次两倍的步长等比缩放。这样预先存储各种大小的物体之后,就可以便于调用显示了。

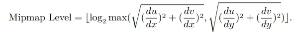
我们会去计算像素局部的拉伸情况。也就是说,相邻两个像素在纹理坐标中的差距有多大?
屏幕空间x, y两个方向的拉伸比例可以表示为
![]()
取这两个比例的最大值,我们就能得到一个像素放大比率的估计。
则对应的MipMap层级可以表示为:

为了更加平滑的过渡效果,我们会选择相邻的上下两个层级,对两个层级之间进行线性插值。
使用这种方法,得到的结果如图所示。

锯齿和摩尔纹都消失了,说明Mipmap确实取到了反走样的作用。但是我们同时发现,远处的网格糊成了一片,细节丢失了。这是为什么?
事实上,远处的网格线在垂直空间上进行了过度的模糊。因为我们强制将x和y方向的纹理比例拉成一致的,就会导致这样的现象。例如x实际上缩小到原来的1/2,而y实际上缩小到原来的1/16,你取最大值,显然对y不太合适。于是我们需要可以将Mipmap修改成各向异性的。除了存储这些各向同性的,我们还会存储这些各项异性的数据。这样的效果就会好很多了。
